5.2.1采用增大截面加固受弯构件时,应根据原结构构造和受力的实际情况,选用在受压区或受拉区增设现浇钢筋混凝土外加加固方式。
5.2.2当仅在受压区加固受弯构件时,其承载力、抗裂度、钢筋应力、裂缝宽度及挠度的计算和验算,可按现行国家标准《混凝土结构设计规范》 GB 50010 关于叠合式受弯构件的规定进行。当验算结果表明仅需增设混凝土叠合层即可满足承载力要求时,也应按构造要求配置受压钢筋和分布钢筋。
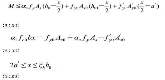
5.2.3当在受拉区加固矩形截面受弯构件时(图5.2.3),其正截面受弯承载力应按下列公式确定:

式中:M-构件加固后弯矩设计值(kN.M);
αS一一新增钢筋强度利用系数,取αS=0.9;
Fy—新增钢筋的抗拉强度设计值( N/mm2);
As—新增受拉钢筋的截面面积( mm2);
h0、h01一构件加固后和加固前的截面有效高度(mm);
x一混凝土受压区高度( mm);
Fyo、f’yo一原钢筋的抗拉、抗压强度设计值( N/mm2);
最新产品
同类文章排行
- 《混凝土结构加固设计规范》(GB50367-2013完整版)
- 《建筑结构加固工程施工质量验收规范》GB 50550-2010完整版
- 《工程结构加固材料安全性鉴定技术规范》GB50728-2011完整版
- 《建筑设计防火规范》GB50016-2014(2018版)悍马加固材料
- 《建筑设计防火规范》GB50016-2014局部修订条文-悍马加固材料
最新资讯文章
您的浏览历史








