
一、施工荷载是活荷载还是临时荷载?
1、施工荷载分为两类:
一类是建筑物使用期间可能出现的检修施工荷载,这类荷载应按设计活荷载考虑。
例如《建筑结构荷载规范》GB50009-2012第5.5.1条规定的检修施工荷载就属于活荷载。
5.5.1施工和检修荷载应按下列规定采用:
1.设计屋面板、檩条、钢筋混凝土挑檐、悬挑雨篷和预制小梁时,施工或检修集中荷载标准值不应小于1.0kN,并应在相当不利位置处进行验算;
2.对于轻型构件或较宽的构件,应按实际情况验算,或应加垫板、支撑等临时设施;
3.计算挑檐、悬挑雨篷的承载力时,应沿板宽每隔1.0m取一个集中荷载;在验算挑檐、悬挑雨篷的倾覆时,应沿板宽每隔2.5m~3.0m取一个集中荷载。
另一类是施工期间可能出现的施工荷载,如地下室顶板,模板,施工荷载,这里荷载一般属于临时荷载,应在施工阶段解决。
也就是说使用期间,检修出现的施工荷载属于活荷载,施工期间出现的施工荷载属于临时荷载。
2、设计时如何处理两类施工荷载?
检修施工荷载可以按普通活荷载考虑,设计时也可以将其视为一类互斥性荷载,如屋面检修荷载与雪荷载不用同时考虑。
施工临时荷载作为经常性的荷载来设计不合理,但将其完全推给施工单位解决也有困难,设计方和施工方应有明确的说明和责任界限,施工期间要做必要的复核和采取必要的措施。
与其它可变荷载根据设计基准期通过统计确定荷载标准值的方法不同,偶然荷载在设计中所取的代表值是由有关的权威机构或主管人员主观认定的,因此不考虑荷载分项系数,荷载设计值与标准值取值相同。
二、地下停车场如何考虑碰撞荷载?


跟地下停车场相关的柱、墙、栏杆等要考虑汽车碰撞荷载,《建筑结构荷载规范》GB50009-2012第10.3.2条规定:
10.3.2汽车的撞击荷载可按下列规定采用:
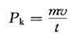
1.顺行方向的汽车撞击力标准值Pk(kN)可按下式计算:

式中 m——汽车质量(kg),包括实际车重加载重;
v——车速(m/s);
t——撞击时间(s)。
2.撞击力计算参数m、v、t和荷载作用点位置宜按照实际情况采用;当无数据时,汽车质量可取15t,车速可取22.2m/s,撞击时间可取1.0s;小型车和大型车的撞击力荷载作用点位置可分别取位于路面以上0.5m和1.5m处。
3.垂直行车方向的撞击力标准值可取顺行方向撞击力标准值的0.5倍,二者不考虑同时作用。
上述10.3.2公式中,汽车质量(t)、车速可按实际情况考虑,撞击时间可取1.0s,作用点位置可分别取位于路面以上0.5m和1.5m处。这里要注意汽车的车速可以不按照行驶速度来考虑,因为车辆进出的时候,车辆的速度往往是有限制的,可以根据限速来取这个速度。
原文链接http://www.shhorse.com/Article/dxtcdcrhklp_1.html
(本文来源于网络,悍马加固整理报道,如有侵权,请联系删除。另,转载请注明出处,否则后果自负。)








