
随着近年来空间大跨度钢结构的快速发展,因为原有结构承载力不足而运用FRP(Fiber Reinforced Plastics/纤维增强复合材料)加固的钢结构亦越来越多。
小悍查阅资料得知,钢结构采用FRP加固的公开案例不多,业内精力仍集中于科学研究层面。今天小悍就向大家科普一下粘贴FRP加固钢梁时,几种主要破坏形式。

一、FRP加固钢梁-FRP板拉断
构件受力后在钢梁翼缘首先屈服,随着荷载继续增加,钢梁受拉翼缘进入塑性阶段,FRP板受拉力迅速增大,钢梁中性轴下移。虽然钢材首先屈服,但由于FRP板的极限拉应变比普通钢材小,且其位置距离中性轴更远,更容易达到极限拉应变值而拉断破坏,当FRP板两端锚固足够好时,FRP板在跨中发生断裂破坏。尽管FRP板拉断是脆性的,但由于此前钢梁翼缘钢材屈服,结构已有较大变形,有破坏的前兆,仍属可以接受的范畴。
这种情况下FRP板拉力可取设计值,设计抗拉强度一般为2000~2400MPa。
二、FRP加固钢梁-胶层粘结破坏
如果FRP片材的锚固不足或胶粘材料强度过低时,会出现胶层的黏结失效,导致FRP片材与钢梁间的黏结剥离,FRP片材高强的性能得不到充分发挥,钢梁加固立即失效,此类破坏属于脆性破坏。
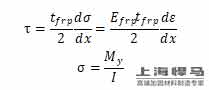
根据黏结微分单元和材料力学可知:

剪应力公式表明任何引起FRP板轴向力变化的因素都会导致剪应力的产生,当剪应力的增长达到一定值时,在薄弱界面出现剥离,引起剥离破坏。
随着荷载的增加,梁底胶层会不断产生弯曲裂缝或剪切裂缝,根据正应力公式,开裂截面与未开裂截面的力筋之间将有应力梯度,为了平衡,必然有剪应力的产生。随着剪应力的不断增加,开裂处FRP板条应力集中,在裂缝附近会产生剥离破坏,但离裂缝较远的截面又未开裂,这导致在已发生剥离破坏的截面和未发生剥离破坏的截面之间存在一应力梯度,从而又反过来导致剥离破坏,因此中间剥离破坏是一个自扩张的过程,钢材屈服后将更加明显。
三、FRP加固钢梁-其他破坏
如果受弯加固量较大,钢梁还可能出现其他破坏形式,如梁整体失稳、局部失稳、剪切破坏等,在此暂不详细讨论。
原文链接:http://www.shhorse.com/Article/kpfrpjggls_1.html
(本文系悍马加固材料原创,转载请注明出处,并于本人联系,如有侵权,后果自负。)
最新产品
同类文章排行
- 检测报告上CMA、ILAC-MRA、CNAS、CAL四个标识的区别!
- 分不清转包、分包、内包、挂靠之间的区别?看这里!
- GB50210-2018《建筑装饰装修工程质量验收标准》已实施
- 房屋建筑学基础知识汇总
- 典型案例!国内外桥梁坍塌事故,太吓人了......
最新资讯文章
您的浏览历史








